化合积电与厦门大学张洪良教授团队携手,在超宽禁带半导体单晶金刚石材料领域取得重要进展,成功突破高迁移率硼掺杂单晶金刚石制备技术瓶颈,实现p型掺杂电学性能的宽范围精准调控,所制备样品的室温空穴迁移率最高达1650 cm²/(V·s),相关性能指标跻身国际先进行列,为高功率、高频金刚石电子器件的发展筑牢关键材料根基。
研究背景:“终极半导体” 的核心技术瓶颈
金刚石作为超宽禁带半导体材料,具有5.45 eV禁带宽度、高击穿场强、优异热导率和高空穴迁移率,被誉为“终极半导体”,在高压、高温、强辐射等极端环境下具备不可替代的应用前景。目前主流采用微波等离子体化学气相沉积(MPCVD)技术制备单晶金刚石,硼掺杂是实现p型导电的关键。然而,高结晶质量、高迁移率硼掺杂单晶金刚石的制备仍面临两大瓶颈:一是衬底表面与亚表面损伤导致外延层缺陷延伸,降低载流子迁移率;二是硼掺杂引发晶格畸变和非金刚石相生成,破坏晶体完整性。国内在该领域进展滞后,室温空穴迁移率普遍低于1000 cm²/(V·s),显著落后于国际领先水平(>1500 cm²/(V·s)),制约高端器件自主化发展。突破此技术瓶颈,是我国实现金刚石半导体产业追赶与超越的关键。
关键指标:高迁移率达国际先进水平
化合积电和厦大团队通过精准调控原料气中的硼碳比,实现了硼掺杂单晶金刚石空穴浓度在10¹⁴~10¹⁷ cm⁻³范围内的宽范围可控调节,并同步实现了晶体质量、表面形貌与电学性能的全面突破,核心性能指标如下:
(一)超高结晶质量与原子级平整表面

图1 掺硼单晶金刚石表明形貌
所制备的单晶金刚石薄膜,(004) 晶面 X 射线衍射峰摇摆曲线半峰全宽(FWHM)低至 52″,始终保持在 60″以内;拉曼光谱仅在 1332 cm⁻¹ 处出现金刚石 sp³ 杂化特征峰,无其他杂碳相信号,证明了极高的晶体纯度;薄膜表面均方根(RMS)粗糙度仅 0.75 nm,实现了原子级平整,完全满足半导体器件微纳加工的工艺要求。

图2 掺硼单晶金刚石晶体质量表征
(二) 室温空穴迁移率突破1650 cm²/(V・s)
迁移率是决定半导体功率器件响应速度、导通损耗等核心性能的关键指标,也是本研究最核心的突破。
·当硼碳比为 10 ppm、空穴浓度为 4×10¹⁴ cm⁻³ 时,样品室温空穴迁移率最高达到1650 cm²/(V·s),与日本德岛大学、日本国立材料科学研究所等国际顶尖团队的同期高迁移率成果水平相当;
·即使在 1.5×10¹⁵ cm⁻³ 的空穴浓度下,样品迁移率仍可达 1052 cm²/(V・s),实现了高掺杂浓度与高迁移率的兼顾;
·重掺杂条件下(空穴浓度 3.5×10¹⁷ cm⁻³),样品仍保持稳定的电学性能,充分验证了该工艺的宽范围适用性。
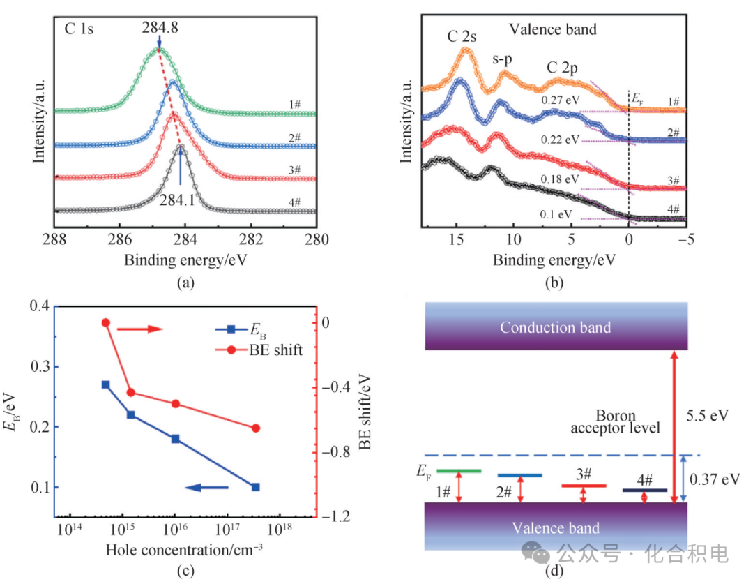
(三)电子结构与输运机理的系统解析
研究团队通过高分辨 X 射线光电子能谱(XPS)系统表征了掺硼金刚石的电子结构,明确了硼掺杂对金刚石费米能级、价带结构的调控规律,证实了高晶体质量是实现高载流子迁移率的核心关键。基于价带谱测试结果计算的载流子浓度,与霍尔效应测试结果高度吻合,为后续掺杂工艺优化和器件结构设计提供了坚实的理论支撑。

图3 掺硼单晶金刚石电学性能表征图

图4 掺硼单晶金刚石的XPS表征分析
化合积电联合厦门大学张洪良教授团队,成功构建稳定可量产的高迁移率硼掺杂单晶金刚石制备技术。所制备的硼掺杂金刚石具备优异电学性能,可广泛应用于新能源汽车、特高压电网、5G/6G通信、深紫外LED及高能粒子探测、核工业、航空航天等耐辐照、耐高温场景。该技术已实现从实验室到规模化生产的跨越,极大推动金刚石半导体器件落地,引领下一代半导体技术发展。