金刚石热沉片作为一种理想的超宽禁带半导体材料,被称为终极半导体,是高频大功率器件的理想材料,引起人们的广泛关注。常规的金刚石材料属于绝缘体, 通过硼掺杂可以实现p型导电,然而由于硼掺杂金刚石电离能较高(0.37 eV), 在室温下很难完全电离, 而重掺杂又往往导致金刚石表面损伤, 半导体性质下降, 因此限制了金刚石半导体器件的应用发展。幸运的是,通过表面改性手段对金刚石进行功能化修饰,在其表面形成氢终止,氢化金刚石表面可产生二维空穴气体(2DHG),使金刚石表面近表层p型导电沟道特性, 使其成为金属-氧化物-半导体场效应晶体管(MOSFET)应用的良好选择。氧化后的金刚石表面将呈现高密度表面状态,通常用于隔离衬底上的相邻器件。氢终端(C-H)金刚石FETs凭借其载流子密度高(~1013 cm-2)、工艺简单和高热稳定性得到广泛的研究。但氢终端金刚石FETs的稳定性在实际应用中仍存质疑。此外,C-H金刚石MOSFET器件由于表面2DHG的存在通常表现出耗尽型特性。事实上,增强型场效应晶体管在数字集成电路和大功率电路中具有更高的安全性和更低的功耗。
目前,基于氢终端金刚石实现增强型特性的也被广泛报道,实现的方法包括表面沟道修饰,沉积具有正电荷的栅介质,以及设计特殊的器件结构等。然而,目前所报道的增强型金刚石MOSFETs的阈值电压(Vth)和电流密度相对较低,不适合应用于电源开关器件中。因此,将金刚石与其他材料结合,以实现高阈值电压和高电流密度的增强型特性是急需解决的。金刚石-硅(C-Si)偶极子由于与C-H偶极子具有相似的电负性,同样有望在金刚石表面产生2DHG。而且已经证实氧化后的硅端金刚石表面将显示负电子亲和能。SiO2是一种理想的栅介质,在MOS功率器件中具有高度稳定性,以及大禁带宽度。SiO2/金刚石制备的C-Si界面被认为适用于高压和高温应用,与C-H键相比,金刚石中的C与SiO2中的Si直接键合可以提供更可靠的稳定性,更适合于半导体工业的应用。
为了推动金刚石材料电子器件的发展,加快国内外金刚石基MOSFETs的研究进程,近日,北京科技大学碳基材料与功能薄膜团队刘金龙副研究员与早稻田大学Hiroshi Kawarada教授课题组合作研究了C-Si界面(111)金刚石MOSFET的电学特性,通过高分辨率透射电子显微镜(HRTEM)、电子能量损失(EELS)和x射线光电子能谱(XPS)对SiO2/(111)金刚石界面的微观结构进行了下列研究分析。
图1: SiO2/(111)金刚石MOSFETs的示意图。

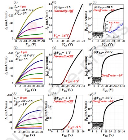
图2:LG=4 μm, 8 μm, 10 μm 对应的SiO2/(111)金刚石MOSFETs (a,d,g) ID-VDS特性,VGS从-40 V到5 V以5 V步长变化 (b,e,h) VDS=-1 V线性坐标下的|ID|-VGS特性 (c,f,i) VDS=-30 V对数坐标下的|ID|-VGS特性 。
图3:实验中C-Si (111) 金刚石MOSFETs器件和报道的 增强型场效应晶体管的|ID| -Vth 关系对比图。

图4:SiO2/(111)金刚石界面的HRTEM图。

图5:(a)SiO2/(111)金刚石界面暗场截面STEM图像 (b) C, Si和O元素的叠加EELS map图 (c) (b)中黑色方框对应的C, Si和O的原子百分比map图

图6: (a) C, Si和O元素的叠加EELS map图 (b) Si L-edge (c) C K-edge
(d) O K-edge在界面处的EELS能谱。红色虚线圆圈包含界面区域的能谱特征。

图7:SiO2/(111)金刚石界面的(a) C1s和(b)Si2p能级的XPS谱。彩色线代表拟合曲线。

图8:基于Pandey链结构的(111)金刚石表面重构的C-Si模型。
化合积电专注于金刚石的研发与生产,具备MPCVD设备设计能力,国内首家掌握MPCVD制备高质量金刚石的核心工艺并实现量产,并且独创基于等离子体辅助抛光的金刚石原子级表面高效精密加工方法,晶圆级金刚石Ra<1nm,金刚石热沉片热导率1000-2000W/m.k,更有GaN on diamond 、Diamond on GaN、金刚石基氮化铝等产品,为您提供最全金刚石热管理解决方案。采用金刚石热沉的大功率半导体激光器已经用于光通信,在RF功率放大器、激光二极管、功率晶体管、电子封装材料等领域也都有应用。